Dreaming of bringing the family to the snow but don’t want to remortgage your house to do so? We get it, skiing and snowboarding can be a pretty expensive hobby – especially when you’re paying for a family of four. Lift passes, rentals, accommodation, commuting costs, it all adds up pretty quickly, resulting in a massive blow to your hip-pocket.
But how expensive is it really? Is the 25% ‘snow tax’ only an Australian thing? What about lift passes, rentals, and food? Can you actually spend 5 days in Japan for the same price you’re paying for 5 days at an Australian resort?

All very good questions that we don’t know the answers to. But, like you, we’d like to find out.
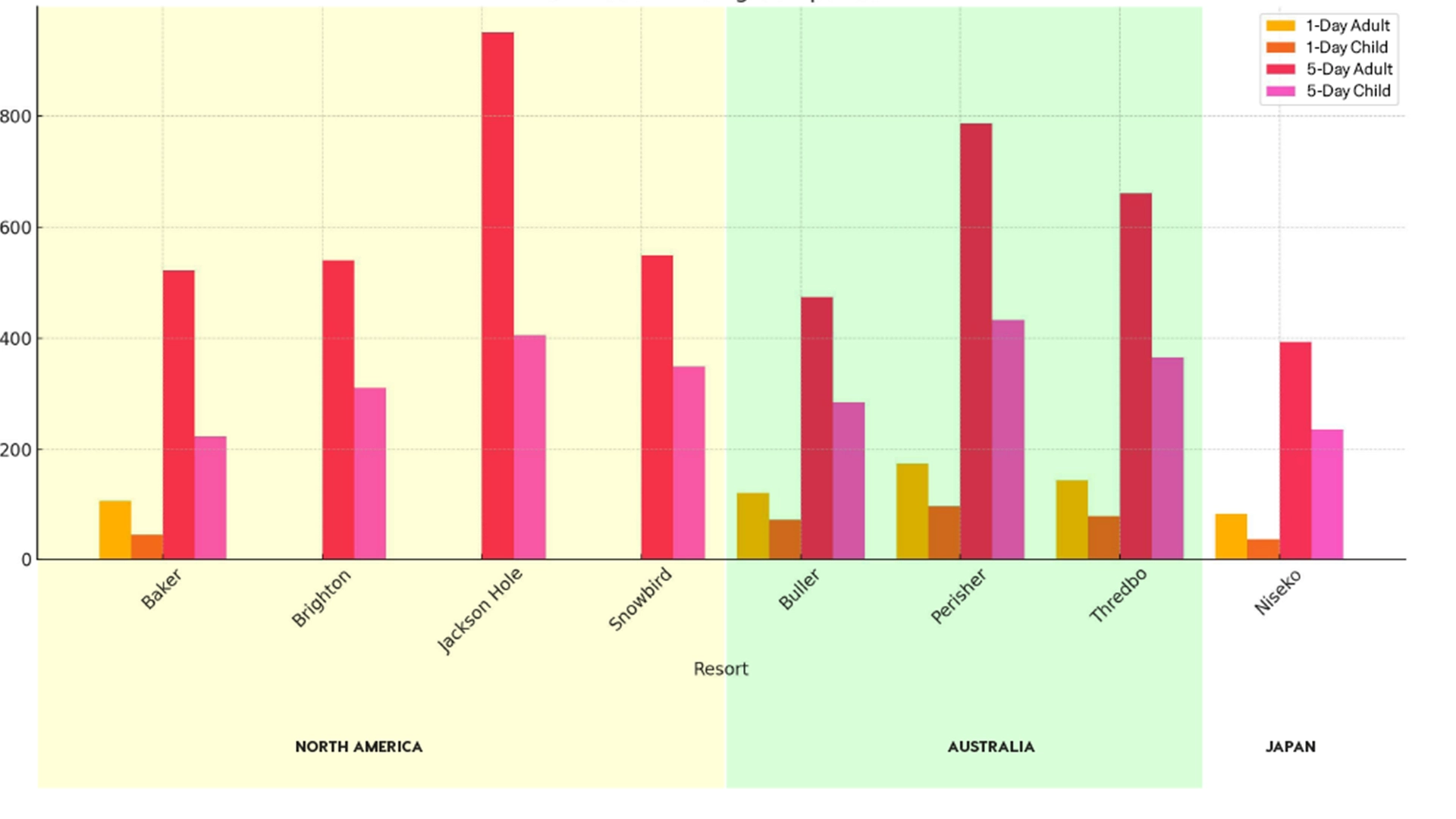
So we decided to put on our best Sherlock Holmes pea coats and do a deep dive into some of our favourite resorts around the world (including, of course, Niseko), comparing the cost of a five-day family holiday with all things considered: accommodation, rentals, lessons, lift passes, and of course, exchange rates.
Please note: all prices have been converted to USD via xe.com's rates as of July 28th, 2025.
For best viewing on mobile devices please use horizontal mode.







